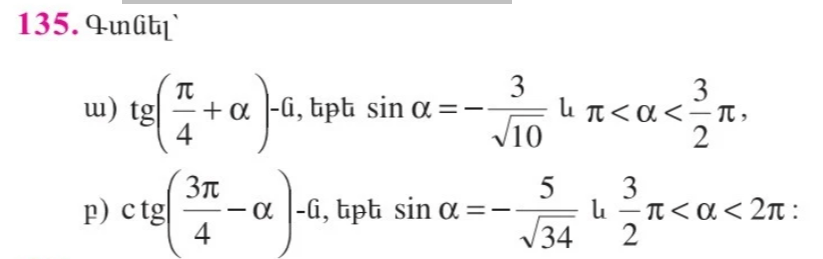
Առաջադրանք 135

ա) tg(π/4+α), sin α= -3/√10; π<α<3/2π
tg α=sin α/cos α
cos2α=1-sin2α=1 — 9/10=1/10
cos α= -1/√10 (քանի որ π<α<3/2π /1800-2700/)
tg α= -3/√10 : (-1/√10) = -3/√10 * (-√10/1)= -3/-1=3
tg β=tg 450 (π/4)=1
tg(α+β)=tg α + tg β/1-tg α*tg β
tg(π/4+α)=3+1/1-3*1=4/(-2)= -2
Պատ՝․ -2
բ) ctg(3π/4-α), sin α= -5/√34; 3/2π<α<2π
ctg α=cos α/sin α
cos2α=1-sin2α=1-25/34=9/34
cos α=3/√34 (քանի որ 3/2π<α<2π /2700-3600)
ctg α=3/√34 : (-5/√34)=3/√34 * (-√34/5)= -3/5
ctg β=cos β/sin β=ctg 1350 (1800-450)= -1
ctg(α-β)=ctg α*ctg β+1/ctg β-ctg α
ctg(3π/4-α)= -1*(-3/5)+1 : (-3/5)-(-1)=8/5 : (-3/5)+1=8/5 : 2/5=8/5 * 5/2=8/2=4
Պատ՝․ 4
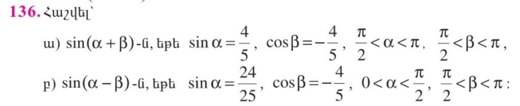
Առաջադրանք 136

ա) sin(α+β); sin α=4/5; cos β= -4/5; π/2<α<π; π/2<β<π
sin(α+b)=sin α*cos β+sin β*cos α
sin2α+cos2α=1 => cos2α=1 — 16/25=9/25
cos α= կամ 3/5 կամ -3/5 (քանի որ π/2<α<π, ուստի՝ cos α= -)
sin2β+cos2β=1 => sin2β=1 — 16/25=9/25
sin β= կամ 3/5 կամ -3/5 (քանի որ π/2<β<π, ուստի՝ sin β= +)
cos α= -3/5; sin β=3/5
sin α*cos β+sin β*cos α=4/5*(-4/5)+3/5*(-3/5)= -16/25+(-9/25)= -1
Պատ՝. -1
բ) sin(α-β); sin α=24/25; cos β= -4/5; 0<α<π/2; π/2<β<π
sin(α-β)=sin α*cos β-sin β*cos α
sin2α+cos2α=1 => cos2α=1 — 576/625=49/625
cos α= կամ 7/25 կամ -7/25 (քանի որ 0<α<π/2, ուստի՝ cos α= +)
sin2β+cos2β=1 => sin2β=1 — 16/25=9/25
sin β=կամ 3/5 կամ -3/5 (քանի որ π/2<β<π, ուստի՝ sin β= +)
cos α=7/25; sin β=3/5
sin α*cos β-sin β*cos α=24/25*(-4/5)-3/5*7/25= -96/125-21/125= -117/125= -0.936
Պատ՝. -0.936