Առաջադրանք 47, 48 — տնային առաջադրանք
Առաջադրանք 47

ա) √2*√8=√16=4
բ) √24*√54=√24*54=√1296=36
գ) √3*3√3*6√3= 6√33*32*3=6√36=3
դ) 6√16*3√4*9√64=18√16318√4618√642=18√163*46*642=18√46*46*46=18√418=4
Առաջադրանք 48

ա) √18/√2=√18/2=√9=3
բ) √162/√18=√162/18=√9=3
գ) √0,(3)/√27=1/9
դ) √0,125/√32=1/√8 / 4√2=2/4 / 4*2=2/4/8=1/2/8=0.5/8=0.0625 (1/16)
Առաջադրանք 54, 58, 59, 61, 63, 67, 68
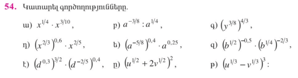
Առաջադրանք 54

ա) x1/4*x3/10=x1/4 + 3/10=x5+6/20=x11/20
բ) a-3/8 : a1/4=a-1/8
գ) (y3/8)4/3=y3/8 * 4/3=y12/24=y1/2
դ) (x2/3)0,6 * x2/5=x2/3*3/5 * x2/5=x2/5*x2/5=x4/5
ե) (a-5/8)0,4 * a0,25=a-5/8*0,4 * a0,25=a-5/8*2/5 * a0,25=a-1/4*a1/4=1
զ) (b1/2)-0,5 * (b1/4)-2/3=(b1/2*(-1/2))*(b1/4*(-2/3))=b-1/4*b-1/6=b-3+(-2)/12=b-5/12
է) (d0,3)3/2 * (d-2/5)0,4=(d0,3*1,5)*(d-0,4*0,4)=d0,45+(-0,16)=d0,29
ը) (u1/2+2v1/2)2=(√u+2√v)2=u+4√uv+4v
թ) (u1/3-v1/3)3=u-33√u23√v+33√uv2/3-1v=u-33√u2v+33√uv2-v
Առաջադրանք 58

ա) (31/30)1,13=1,031,13 => (31/30)1,13 > 1
բ) (1,0001)0,0001 > 1
գ) (27/26)0,14=1,030,14 => (27/26)0,14 > 1
դ) (π/3)-0,037=1/3,14/30,037 => (π/3)-0,037 < 1
ե) (√0,3)1,89 < 1
զ) (9√0,999)999 < 1
է) (1/143)0 = 1
ը) 00,023 < 1
Առաջադրանք 59

ա) 71,49, 71,493, 71,5
բ) (1,2)6,5, (1,2)6,538, (1,2)6,539
գ) (5,2)-3,73, (5,2)-3,724, (5,2)-3,72
դ) (0,8)3,826, (0,8)3,82, (0,8)3,81
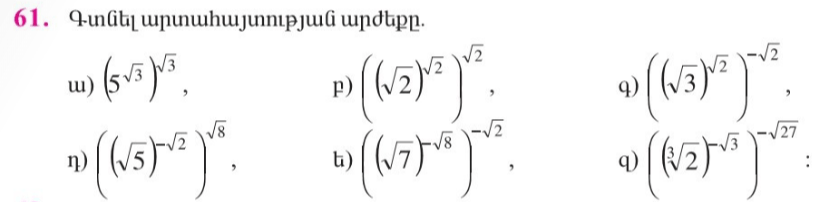
Առաջադրանք 61

ա) (5√3)√3=53=125
բ) ((√2)√2)√2=√22=2
գ) (√3)√2)-√2=1/√32=1/3
դ) (√5)-√2)√8=1/√54=1/25
ե) ((√7)-√8)-√2=√7√16=√74=72=49
զ) ((3√2)-√3)-√27=3√2√81=3√29=23=8
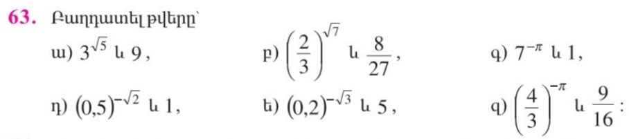
Առաջադրանք 63

ա) 3√5 > 9
բ) (2/3)√7 > 8/27
գ) 7-π < 1
դ) (0,5)-√2 > 1
ե) (0,2)-√3 > 5
զ) (4/3)-π < 9/16
Առաջադրանք 67

x = մատիտների քանակ, a = տուփերի քանակ, b = տուփերի քանակ
x=10a+4, (10 մատիտ դնելու դեպքում՝ 4-ը ավելանում են)
x=12b+6, (12 մատիտ դնելու դեպքում՝ 6-ը ավելանում են)
- x=10a+4
- x=12b+6
10a+4=12b+6
10a=12b+6-4
10a=12b+2
a=(12b+2)/10 (կրճատենք 2-ով)
a=(6b+1)/5
Հիմա ըստ պայմանների գտնենք համապատասխան թվերը a-ի և b-ի։ Մատիտների քանակն էլ պետք է լինի 60-ից քիչ․ x<60: Կազմենք անհավասարումներ։
10a+4<60
12b+6<60
Լուծենք անհավասարումները:
1) 10a+4<60
10a<60-4
10a<56
a<56/10
a<5.6
2) 12b+6<60
12b<60-6
12b<54
b<54/12
b<4.5
Քանի որ տուփերի քանակները պետք է լինեն ամբողջ թվեր, ապա ամենամոտիկ համապատասխան թվերը սրանք են․ a=5, b=4։ Իսկ հիմա կարող ենք գտնել առաջին հավասարման x-ը՝ մատիտների քանակը՝ օգտագործելով տուփերի քանակը։
x=10a+4
x=10*5+4=50+4=54
Երկրորդ հավասարում՝
x=12b+6
x=12*4+6=48+6=54
Պատ՝․ 54 մատիտ
Առաջադրանք 68
