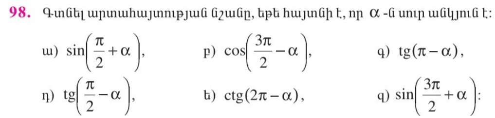
Առաջադրանք 98

ա) sin (π/2 + α) = (+)
բ) cos (3π/2 — α) = (-)
գ) tg (π — α) = (-)
դ) tg (π/2 — α) = (+)
ե) ctg (2π — α) = (-)
զ) sin (3π/2 + α)= (-)
Առաջադրանք 99

ա) sin (-300)= -1/2
բ) cos (-π/3)=cos (-600)=1/2
գ) tg (-π/4)=tg (-450)= -1
դ) tg (-5π/6)=tg (-1500)=√3/3
ե) ctg (-1350)=1
զ) ctg (-2π/3)=ctg (-1200)=√3/3